置顶交易所突放大招!
近年来快速发展的可转债市场,迎来重磅监管新规火币交易所。 6月17日晚间,沪深交易所分别发布公告,发布《可转换公司债券交易实施细则(征求意见稿)》,并于6月17...
近年来快速发展的可转债市场,迎来重磅监管新规火币交易所。 6月17日晚间,沪深交易所分别发布公告,发布《可转换公司债券交易实施细则(征求意见稿)》,并于6月17...
˂img src="http://www.qinbawine.com/zb_users/upload/2022-08-30/630dadfd6b09b.jpg"...
传奇M是传奇ip的最新作品,很多玩家都在关注火币官网下载。这款游戏和以往的传奇系列保持一致,同样是MMORPG游戏,主线玩法是玩家们选定职业来创建游戏角色,进入...
本报厦门5月5日电 (记者施钰)5日,为推动碳达峰、碳中和战略与乡村振兴工作融合发展,农业碳汇交易平台落地福建厦门火币网交易平台。当天,厦门市同安区莲花镇军营村...
7月25日,记者从市政务服务和公共资源交易服务中心获悉,巴中市从靠前服务绿色低碳项目、优先采购绿色低碳产品、全面实行绿色低碳交易等方面打造绿色低碳交易平台火币网...
在黄金交易市场中,投资者可选择的投资产品是很多的,黄金市场行情波动频繁,盈利机会很大,现在炒黄金的投资者也越来越火币网交易平台。而炒黄金,最重要的就是要在正规交...
点击蓝字 公共采购 关注火币网交易平台我们 近日,记者从济南市发改委获悉,济南市扎实推进公共资源交易领域相关改革,优化公共资源交易市场环境,为推动要素资源高效...
今年和去年,币圈行情是一个天一个地币圈行业。 6月19日估计是无数比特币投资者的噩梦,比特币跌至1.78万美元,导致十几万人爆仓,相较于去年11月比特币历史巅峰...
最近的币圈最流行一句话,为了抵抗40年来最高通胀水平(8.6%),我开始炒币,现在我每天损失8.6%币圈行业。这虽然是一句调侃,但基本可以体现今年的数字币跌得有...
㈠ 中国的数字货币有哪些数字货币买卖? 数字人民币数字货币买卖! 目前市面上比较主流的几种数字货币,除了通常的几种外,还分别有莱特币、瑞泰币、PPCoin、以太...
鼎捷软件7月12日公告,公司于今日收到公司董事刘宗长出具的《关于本人亲属买卖公司股票构成短线交易的情况说明》,获悉刘宗长的父亲刘炳俊分别于2022年1月14日、...
买卖“虚拟货币”不受法律保护货币买卖软件,裕安区法院依法驳回 近年来,“虚拟货币”伴随互联网发展应运而生,国内更是刮起一阵有关“虚拟货币”的热潮,但是,虚拟货...
越南的钱长什么样,都有哪些面额?今天小编带大家一起来认识货币现行价格。 ˂img src="http://www.qinbawine.com/zb_users/...
巴菲特不仅在金融上投资有方,更非常注重养生,他有3个多年一直坚持的好习惯币种投资。 1、保持运动的习惯币种投资。 巴菲特的饮食习惯并没有太多讲究,他想吃什么就吃...
陈祥/文 “值九十寿诞佳时,回忆往昔,有些时刻改变了我的一生,有些回忆对我意义重大卡特币。有些事影响深远,多多少少使我受益;有些事新奇有趣;也有些事令我当时深...
随着中国国力的蒸蒸日上,人民群众的生活日益富足,“海晏河清”和“河清海晏”这对近义成语逐渐走红带币的成语。它往往用来比喻天下太平,确实与当下的社会环境比较贴合。...
˂img src="http://www.qinbawine.com/zb_users/upload/2022-08-30/630dc87cf3bae.jpg"...
店铺中设置Chat(聊天)是一个非常重要的技巧,设置好Chat 可以节省沟通成本,减轻客服压力,提高店铺消息回复率和消息回复时间的指标分数chat币。 ˂...
我在遥望,月亮之上,有多少梦想在月亮币上,这句歌词真实地写出了月亮币收藏爱好者的心声,月亮币是我国发行的第5套人民币,一元纸币中的一种特殊荧光币,俗话说四版看水...
河北沧州泰合卓凡雅阁酒店作为澳大利亚雅阁酒店管理集团旗下的成员酒店,将酒店强大的品质承诺和高品质的个性化服务体验相结合的国际高档酒店品牌,感受热情浓郁的当地人文...
来源:中国新闻网 中新网佳木斯12月17日电 (姜辉 王艳云)16日,第二届同江·中俄经贸洽谈会举行德传附子证券投资基金。活动期间,9个重点项目签约,签约额10...
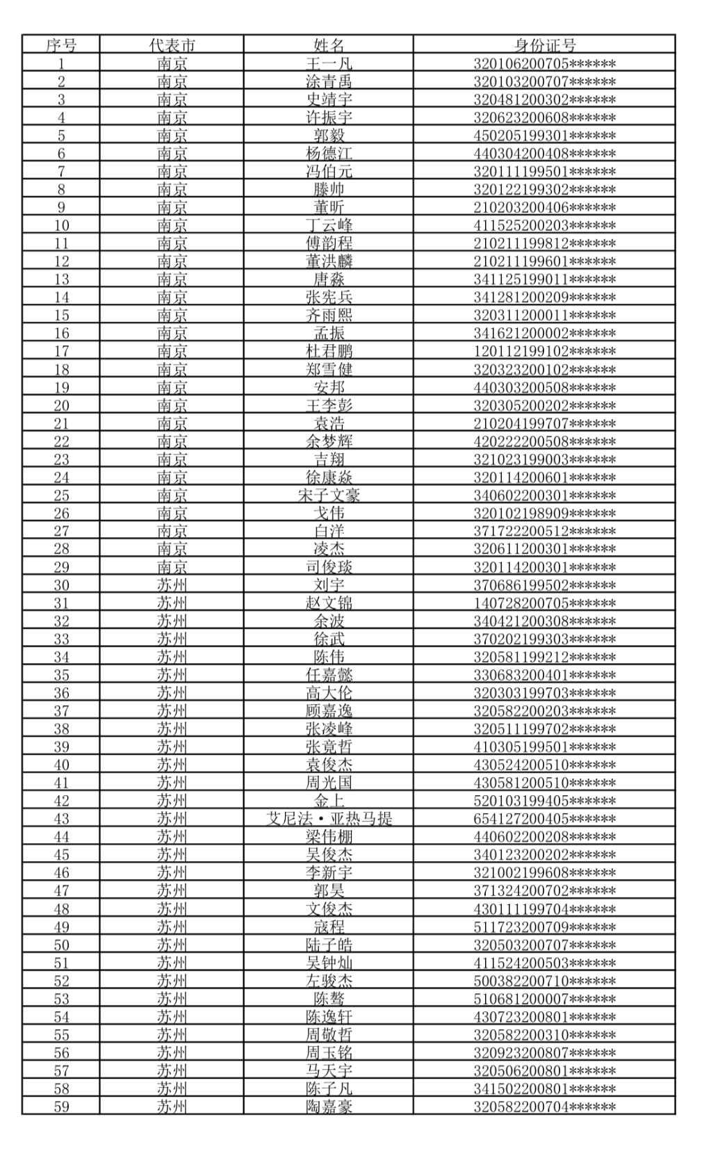
公示 按照《第二届江苏省足球发展重点城市对抗赛竞赛规程》对球员参赛资格审查的相关要求,现将球员报名名单进行公示中信证券无券可融。 一、公示时间为2025年11月...
人民网北京9月1日电 (记者白紫微)8月28日,当代中国与世界研究院与美国卡特中心联合主办的第二届促进中美人文交流青年对话会在美国旧金山大学举办原油期货。来自美...
本公司监事会及全体监事保证本公告内容不存在任何虚假记载、误导性陈述或者重大遗漏,并对其内容的真实性、准确性和完整性依法承担法律责任股票平台。 晶晨半导体(上海...
7月30日,由南光集团承办的第二届中国国际消费品博览会游艇展圆满收官币澳。 第二届消博会游艇展总面积18万平方米,其中陆地展区面积1万平方米,水上展区面积17万...